이전기사 다음기사
UPDATE 2025-11-06 22:34 (Thu)
로그인
phone_iphone 모바일 웹
위로가기 버튼
chevron_right 주말 chevron_right 행복한 금토일
일반기사

아! 전북에 이런 박물관이 있었네

국립 1개·도립 1개 등 총 27개 박물관…술·근대역사·곤충 등 다양한 주제 간직

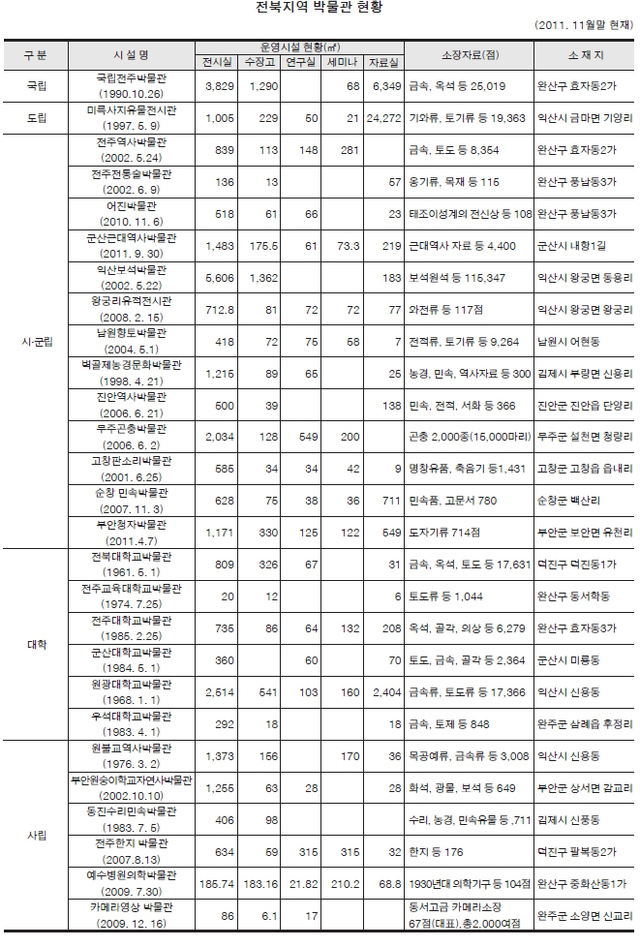
전북지역에는 국립 1개, 도립 1개, 시·군립 13개, 대학교 6개, 사립 6개 등 총 27개의 박물관이 있다.이들 박물관은 어느 한 곳 의미있지 않은 곳이 없지만 특히 눈길을 끄는 곳들이 있다.도내 유일한 국립박물관인 전주박물관을 비롯해 지난해 문 연 군산근대역사박물관 등이 바로 그 곳.이에 이들 박물관들을 소개하고자 한다.

 

 

■ 눈길 끄는 박물관 6선

 

 

▲ 국립전주박물관.

◇국립전주박물관

 

국립전주박물관은 1990년 10월 26일 전북지역의 문화유산을 연구·보존·전시하기 위한 목적으로 개관하였다.

 

전주시 효자동에 위치한 국립전주박물관은 대지 6만2954.1㎡(1만9077평), 연면적 8019㎡(2430평), 지하 1층 지상 2층 규모이며 현재 박물관 소장품은 도내에서 출토된 선사시대와 마한·백제시대의 문화재가 주류를 이루며 그밖에 불교미술품, 도자기, 금속공예품, 역사민속자료 등 2만5000여점에 달하며 이 중 1200여점의 소장품을 5개 전시실과 야외정원에 전시하고 있다.

 

또한 다양한 주제의 전시를 기획해 특별전을 개최함으로써 전북의 역사와 문화를 심도있게 소개하고 있으며 2002년에 전국에서 처음으로 문화체험관(사회교육관)을 개관해 관람객들이 가족단위로 전통문화를 체험할 수 있도록 사회적 기능을 확대하는 등 도민들의 다양한 연령과 신분에 따라 박물관 활동에 참여할 수 있도록 체험학습을 세분화, 전문화해 운영하고 있다.

 

 

▲ 전주전통술박물관.

◇전주전통술박물관

 

전주전통술박물관은 집집마다 술을 빚어 제사도 지내고 집을 방문한 손님에게 정성스럽게 대접도 하던 전통가양주의 맥을 이어가고 현대에 재현하고자 2002년 전주한옥마을에 개관했다.

 

전주전통술박물관은 대지면적 614.90㎡, 건축면적 274.92㎡ 규모로 전국적으로 유명한 전통명주들이 전시판매되고 있는 계영원과 술 빚는 도구와 술 빚는 과정이 전시되어 있는 양화당으로 구성돼 있다.

 

가히 풍류라 불릴 만큼 정성스럽고도 고상했던 조선의 가양주문화는 1909년 일제의 주세법에 의해서 맥이 끊기데 됐다.

 

전주전통술박물관에서는 100년간 끊겨진 가양주의 맥을 찾아 이어가고 있으며 전통가양주 강좌, 가양주 관련 연구사업, 다양한 체험프로그램 등을 통해 가양주를 재현해 시민들에게 보급하고 있다.

 

또한 체계화된 연구와 조사를 통해 전통의 멋과 맛을 자랑하는 한옥마을에 전통술의 메카로서 자리매김한 전주전통술박물관은 전용가양주의 컨설턴트로서의 역할도 해나가고 있다.

 

 

▲ 군산근대역사박물관.

◇군산근대역사박물관

 

군산근대역사박물관은 전통적 물류유통도시로서의 역할을 수행하던 군산시의 정체성 확인을 통해 현재와 미래의 비전을 제시하고 전국 최대의 근대문화유산을 소유한 군산시의 문화적 특징을 관광자원으로 홍보하고자 2011년 9월 30일 개관됐다.

 

군산근대역사박물관은 군산시 해망로에 위치하고 있으며 대지면적 8347㎡ 건축연면적 4248㎡로 지하 1층 지상 4층 규모이다.

 

1층에는 해양물류역사관과 어린이박물관, 수장고가 있으며 2층에는 근재자료규장각실이 있고 3층에는 근대생활관과 기획전시실, 세미나실로 구성돼 있다.

 

오는 3월까지 무료관람을 실시하고 있는 군산근대역사박물관에는 군산지역의 근대역사와 문화를 한 눈에 볼 수 있도록 4400여점의 각종 유물이 전시돼 있다.

 

특히 1930년대 군산의 모습을 재현한 근대생활관은 관람객들로부터 가장 큰 인기를 끌고 있다.

 

 

▲ 익산보석박물관.

◇익산보석박물관

 

익산보석박물관은 미륵사지 석탑, 왕궁리 5층석탑 등 백제문화유적과 연계한 관광자원으로 활용하여 관람객이 편리하게 이용할 수 있는 문화공간 뿐 아니라 보석에 대한 상징과 교육의 장으로 활용하기 위해 건립됐다.

 

익산보석박물관은 총 부지면적 14만1990㎡ 규모의 왕궁보석테마관광지 내에 1996년부터 시작해 2002년 5월에 완공돼 개관했다.

 

지하 1층 지상 2층 연면적 6215㎡ 규모의 보석박물관의 주요시설로는 지하에 수장고와 기계실이 있으며 1층에는 기획전시실과 보석판매코너, 2층 상설전시실에는 진귀한 보석과 원석을 전시하고 있다.

 

연면적 932㎡ 규모의 화석전시관은 화석 및 공룡모형 등을 전시해 청소년들에게 상상의 세계를 펼칠 수 있도록 계획됐다.

 

그리고 2004년에는 보석관련 강좌를 통한 사회교육기능 수행을 목적으로 하는 체험관 시설을 완공해 모든 방문객들에게 살아 있는 체험강좌를 제공하고 있다.

 

그 밖에도 식당, 보석광장, 야외무대, 칠선녀상 등 조형물들과 화석전시관 주변에 공룡 테마공원을 조성해 보석박물관을 찾는 관람객에게 편안한 휴게공간이 될 수 있도록 했다.

 

 

▲ 남원향토박물관.

◇남원향토박물관

 

2004년 5월 1일 개관한 남원향토박물관은 남원시 어현동에 위치하고 있으며 부지 8169㎡ 건축면적 1185㎡로 지하 1층 지상 1층 규모이며 토기 152점, 자기 96점, 고전적 및 서적 681점, 고문서 513점, 민속자료 962점, 유형문화재 57점 등 총 1200여점이 소장돼 있다.

 

남원 지역은 예로부터 역사와 전통이 깊은 고장으로 많은 문화유산과 민속자료가 산재해 있다.

 

오랜 역사를 증거하는 고대시대의 출토유물, 광한루로 대표되는 수준 높았던 조선시대 양반 문화, 정유재란시 왜적에 대항했던 선열들의 정신과 흔적들이 있다.

 

또한 남원은 세계적 무형유산인 판소리의 고장이며 춘향전, 흥부전 등 고전 문학의 산실이자 주요 배경지였다.

 

남원향토박물관은 이처럼 산재해 있는 남원의 유형·무형의 많은 문화유산을 체계적으로 수집·보존·전시·연구하기 위해 설립되었다.

 

남원향토박물관은 이같은 체계적인 수집·연구·전시를 통해 인류의 문화 자산을 널리 함께 향유하며 안으로는 지역의 정체성을 함양해 애향심을 기르고, 밖으로는 남원의 문화를 선양하여 문화 유산을 온전히 후손들에게 전하고자 지속적으로 지역 문화유산 발굴 및 수집 등에 노력하고 있다.

 

 

▲ 무주곤충박물관.

◇무주곤충박물관

 

무주군 설천면 청량리 반디랜드 내에 있는 무주곤충박물관은 곤충을 매개로 한 다양한 전시물을 설치해 직접적인 탐구 및 체험의 기회를 제공하고 있다.

 

2007년 5얼 5일 설립된 무주곤충박물관은 연면적 3300㎡에 지하 1층, 지상 1층 규모이고 전시실과 온실, 돔스크린영상실, 수장고 등으로 구성되어 있다.

 

지하 1층은 주 전시실로서 반딧불이를 비롯한 2000여 종, 총 1만5000여 마리의 전세계 희귀곤충 표본과 고생대 및 신생대의 동식물 화석이 전시되어 있다.

 

또한 곤충에 관한 입체영화를 애니메이션으로 즐길 수 있는 3D입체영상실과 수장고가 설치되어 있다.

 

1층에는 200여 종의 열대식물이 자라고 있는 생태온실과 반딧불이체험관, 지름 14.1m의 반구 스크린이 설치되어 있어 실감나는 자연사와 곤충관련 영상을 볼 수 있는 돔스크린 영상실이 갖추어져 있다. 매주 월요일은 휴관한다

 

 

저작권자 © 전북일보 인터넷신문 무단전재 및 재배포 금지

강현규 kanghg@jjan.kr
다른기사보기

개의 댓글

※ 아래 경우에는 고지 없이 삭제하겠습니다.

·음란 및 청소년 유해 정보 ·개인정보 ·명예훼손 소지가 있는 댓글 ·같은(또는 일부만 다르게 쓴) 글 2회 이상의 댓글 · 차별(비하)하는 단어를 사용하거나 내용의 댓글 ·기타 관련 법률 및 법령에 어긋나는 댓글

0 / 400